Упр.23.1 ГДЗ Мерзляк 10 класс Углубленный уровень (Алгебра)
Решение #1

Рассмотрим вариант решения задания из учебника Мерзляк, Номировский, Поляков 10 класс, Просвещение:
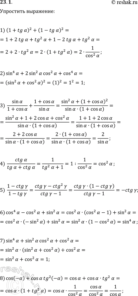
23.1. Упростите выражение:
1) (1+tg(?))^2+(1-tg(?))^2; 5) (1-ctg(?))/(1-tg(?));
2) sin^4(?)+2sin^2(?)cos^2(?)+cos^4(?); 6) cos^4(?)-cos^2(?)+sin^2(?);
3) sin(?)/(1+cos(?))+(1+cos(?))/sin(?); 7) sin^4(?)+sin^2(?)cos^2(?)+cos^2(?);
4) ctg(?)/(tg(?)+ctg(?)); 8) cos(-?)+cos(?)tg^2(-?).
Похожие решебники
Популярные решебники 10 класс Все решебники
*размещая тексты в комментариях ниже, вы автоматически соглашаетесь с пользовательским соглашением