Упр.219 ГДЗ Мерзляк 9 класс (Алгебра)
Решение #1 (Учебник 2024)
Решение #2 (Учебник 2021)
Решение #3 (Учебник 2021)

Рассмотрим вариант решения задания из учебника Мерзляк, Полонская, Якир 9 класс, Просвещение:
Если длину прямоугольника уменьшить на 3 см, а ширину увеличить на 2 см, то его площадь увеличится на 6 см^2. Если длину прямоугольника уменьшить на 5 см, а ширину увеличить на 3 см, то площадь прямоугольника не изменится. Найдите стороны данного прямоугольника.
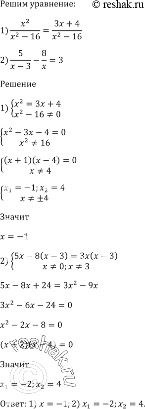
Решите уравнение:
1) х^2 / (x^2 - 16) = (3x + 4)/(x^2 - 16);
2) 5/(х - З) - 8/x = 3.
Похожие решебники
Популярные решебники 9 класс Все решебники
*размещая тексты в комментариях ниже, вы автоматически соглашаетесь с пользовательским соглашением