Упр.217 ГДЗ Мерзляк 9 класс (Алгебра)
Решение #1 (Учебник 2024)
Решение #2 (Учебник 2021)
Решение #3 (Учебник 2021)

Рассмотрим вариант решения задания из учебника Мерзляк, Полонская, Якир 9 класс, Просвещение:
Периметр прямоугольного треугольника равен 40 см, а один из катетов — 8 см. Найдите второй катет треугольника и его гипотенузу.
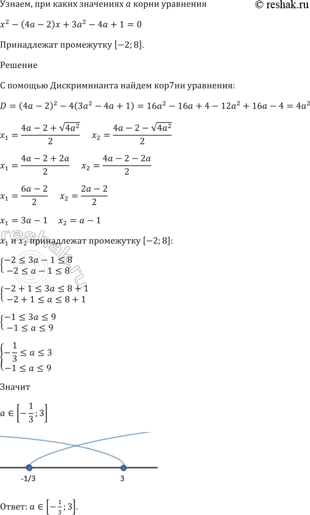
При каких значениях а корни уравнения х^2 - (4а - 2)х + 3а^2 - 4а + 1 = 0 принадлежат промежутку [-2; 8]?
Похожие решебники
Популярные решебники 9 класс Все решебники
*размещая тексты в комментариях ниже, вы автоматически соглашаетесь с пользовательским соглашением