Упр.21.20 ГДЗ Мордкович Семенов 11 класс (Алгебра)
Решение #1

Рассмотрим вариант решения задания из учебника Мордкович, Семенов, Александрова 11 класс, Просвещение:
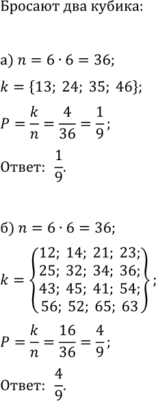
21.20. Найдите вероятность того, что при одновременном бросании красного и синего игральных кубиков:
а) на красном кубике число выпавших очков будет на 2 меньше, чем на синем;
б) на синем кубике число выпавших очков будет на 1 или на 3 отличаться от числа очков на красном.
Похожие решебники
Популярные решебники 11 класс Все решебники
*размещая тексты в комментариях ниже, вы автоматически соглашаетесь с пользовательским соглашением