Упр.201 ГДЗ Мерзляк 9 класс (Алгебра)
Решение #1 (Учебник 2024)
Решение #2 (Учебник 2021)
Решение #3 (Учебник 2021)

Рассмотрим вариант решения задания из учебника Мерзляк, Полонская, Якир 9 класс, Просвещение:
Вокруг прямоугольного участка земли площадью 2400 м^2 поставили ограду длиной 220 м. Найдите длину и ширину участка.
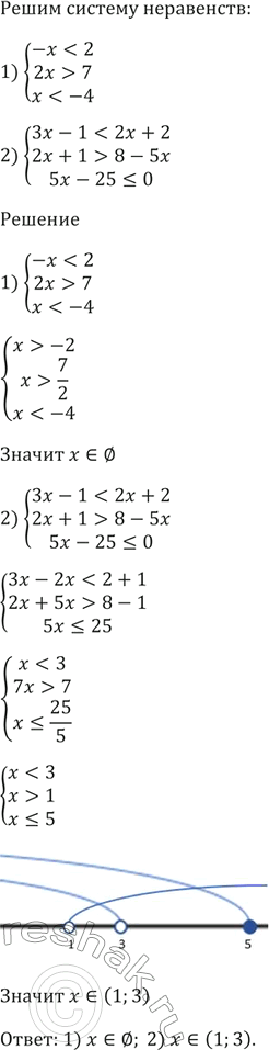
Решите систему неравенств:
1) система
х < 2,
2х > 7,
х < -4;
2) система
Зх - 1 < 2х + 2,
2х + 1 > 8 - 5х,
5х - 25 <= 0.
Похожие решебники
Популярные решебники 9 класс Все решебники
*К сожалению, временные проблемы с публикацией комментариев с мобильных устройств.