Упр.20.20 Часть 1 ГДЗ Мордкович Семенов 7 класс (Алгебра)
Решение #1 (Учебник 2019)

Рассмотрим вариант решения задания из учебника Мордкович, Семенов, Александрова 7 класс, Бином:
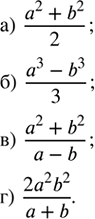
Запишите на математическом языке:
а) полусумму квадратов чисел а и b;
б) треть разности кубов чисел а и b;
в) отношение суммы квадратов чисел а и b к разности этих чисел;
г) отношение удвоенного произведения квадратов чисел а и b к сумме этих чисел.
Похожие решебники
Популярные решебники 7 класс Все решебники
*К сожалению, временные проблемы с публикацией комментариев с мобильных устройств.