Упр.20.19 Часть 1 ГДЗ Мордкович Семенов 7 класс (Алгебра)
Решение #1 (Учебник 2019)

Рассмотрим вариант решения задания из учебника Мордкович, Семенов, Александрова 7 класс, Бином:
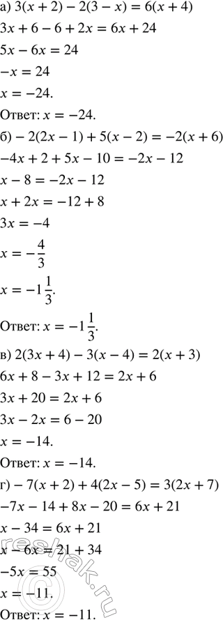
Решите уравнение:
а) 3(x + 2) - 2(3 - х) = 6(х + 4);
б) — 2(2x - 1) + 5(x - 2) = -2(x + 6);
в) 2(3x + 4) - 3(x - 4) = 2(х + 3);
г) —7(x + 2) + 4(2х - 5) = 3(2x + 7).
Похожие решебники
Популярные решебники 7 класс Все решебники
*К сожалению, временные проблемы с публикацией комментариев с мобильных устройств.