Упр.2.9 ГДЗ Дорофеев Суворова 7 класс (Алгебра)
Решение #1

Рассмотрим вариант решения задания из учебника Дорофеев, Суворова, Бунимович 7 класс, Просвещение:
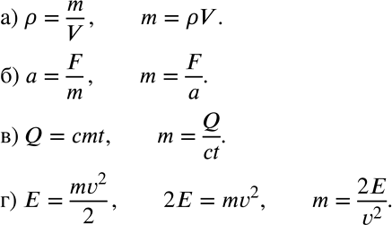
Из физической формулы выразите переменную m:
а) P=m/v;
б) a=F/m;
в) Q=cmt;
г) E=mv2/2.
Популярные решебники 7 класс Все решебники
*К сожалению, временные проблемы с публикацией комментариев с мобильных устройств.