Упр.19.23 ГДЗ Мордкович Семенов 11 класс (Алгебра)
Решение #1 (Учебник 2025)
Решение #2 (Учебник 2022)

Рассмотрим вариант решения задания из учебника Мордкович, Семенов, Александрова 11 класс, Просвещение:
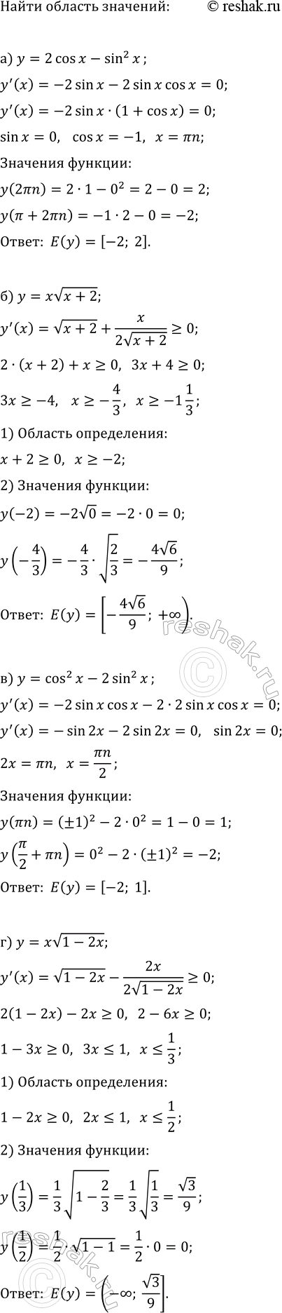
Найдите область значений функции:
а) y = 2cos x - sin^2 x; б) y = x v(x + 2);
в) y = cos^2 x - 2sin^2 x; г) y = x v(1 - 2x).
Вычислите:
а) (3cos(196°)-12sin(74°))/cos(16°); в) (5sin(62°)-9cos(118°))/cos(28°);
б) (2v2cos(83°)+v2sin(7°))/(cos(52°)+cos(38°)); г) (2v2sin(68°)+5v2cos(22°))/(cos(23°)+cos(67°)).
Похожие решебники
Популярные решебники 11 класс Все решебники
*К сожалению, временные проблемы с публикацией комментариев с мобильных устройств.