Упр.19.16 ГДЗ Мордкович Семенов 11 класс (Алгебра)
Решение #1 (Учебник 2025)
Решение #2 (Учебник 2022)

Рассмотрим вариант решения задания из учебника Мордкович, Семенов, Александрова 11 класс, Просвещение:
Найдите наименьшее и наибольшее значения функции на указанном отрезке:
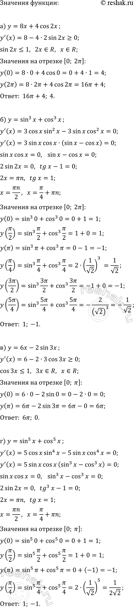
а) y = 8x + 4cos 2x, [0; 2?]; б) y = sin^3 x + cos^3 x, [0; 2?];
в) y = 6x - 2sin 3x, [0; ?]; г) y = sin^5 x + cos^5 x, [0; ?].
Открытый металлический чан имеет форму цилиндра, объём которого равен 8?. Каковы должны быть радиус основания и высота чана, чтобы на его изготовление потребовалось как можно меньше металла?
Похожие решебники
Популярные решебники 11 класс Все решебники
*К сожалению, временные проблемы с публикацией комментариев с мобильных устройств.