Упр.19.1 ГДЗ Мерзляк 11 класс Базовый уровень (Алгебра)
Решение #1

Рассмотрим вариант решения задания из учебника Мерзляк, Номировский, Полонский 11 класс, Просвещение:
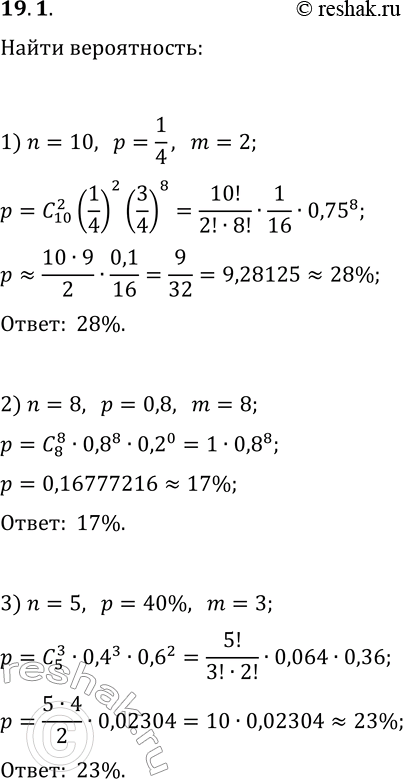
19.1. Найдите вероятность того, что в схеме Бернулли с параметрами n и p число успешных исходов равно m, если:
1) n=10, p=1/4, m=2;
2) n=8, p=0,8, m=8;
3) n=5, p=40%, m=3.
Похожие решебники
Популярные решебники 11 класс Все решебники
*размещая тексты в комментариях ниже, вы автоматически соглашаетесь с пользовательским соглашением