Упр.18.19 Часть 1 ГДЗ Мордкович Семенов 9 класс (Алгебра)
Решение #1 (Учебник 2025)

Рассмотрим вариант решения задания из учебника Мордкович, Семенов, Александрова 9 класс, Просвещение:
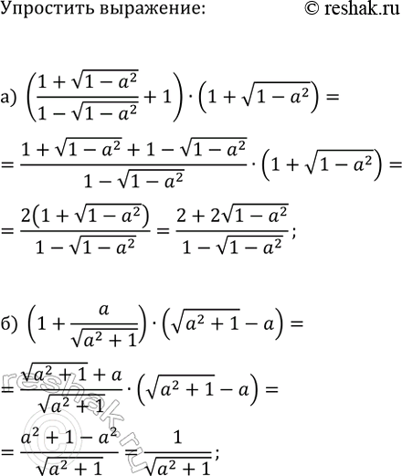
Упростите выражение:
а) ((1+v(1-a^2)/(1-v(1-a^2)+1)·(1+v(1-a^2));
б) (1+a/v(a^2+1))·(v(a^2+1)-a).
Похожие решебники
Популярные решебники 9 класс Все решебники
*К сожалению, временные проблемы с публикацией комментариев с мобильных устройств.