Упр.18.18 Часть 1 ГДЗ Мордкович Семенов 9 класс (Алгебра)
Решение #1 (Учебник 2025)

Рассмотрим вариант решения задания из учебника Мордкович, Семенов, Александрова 9 класс, Просвещение:
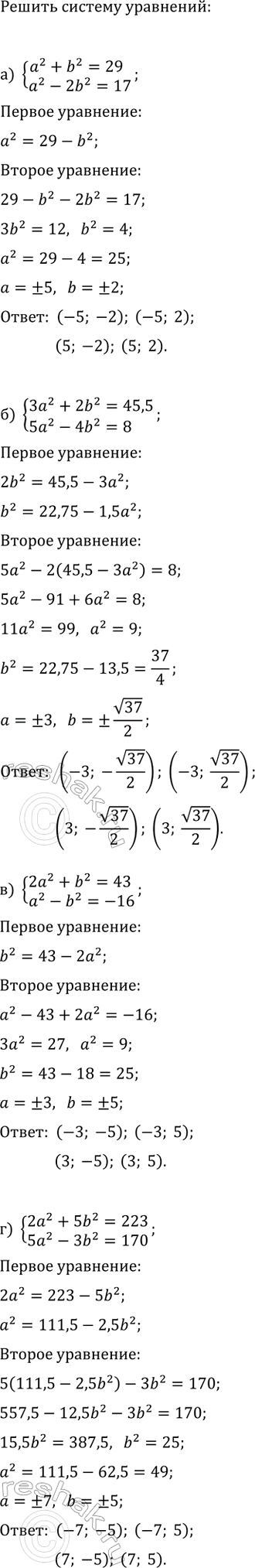
Решите систему уравнений:
а) {a^2+b^2=29, a^2-2b^2=17};
б) {3a^2+2b^2=45,5, 5a^2-4b^2=8};
в) {2a^2+b^2=43, a^2-b^2=-16};
г) {2a^2+5b^2=223, 5a^2-3b^2=170}.
Похожие решебники
Популярные решебники 9 класс Все решебники
*К сожалению, временные проблемы с публикацией комментариев с мобильных устройств.