Упр.17.9 ГДЗ Мерзляк 10 класс Углубленный уровень (Алгебра)
Решение #1

Рассмотрим вариант решения задания из учебника Мерзляк, Номировский, Поляков 10 класс, Просвещение:
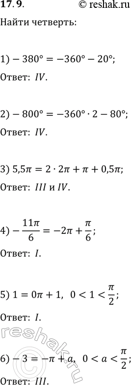
17.9. В какой четверти находится точка единичной окружности, полученная при повороте точки Р_0(1; 0) на угол:
1) -380°; 3) 5,5?; 5) 1;
2) -800°; 4) -11?/6; 6) -3?
Похожие решебники
Популярные решебники 10 класс Все решебники
*размещая тексты в комментариях ниже, вы автоматически соглашаетесь с пользовательским соглашением