Упр.17.3 ГДЗ Мерзляк 10 класс Углубленный уровень (Алгебра)
Решение #1

Рассмотрим вариант решения задания из учебника Мерзляк, Номировский, Поляков 10 класс, Просвещение:
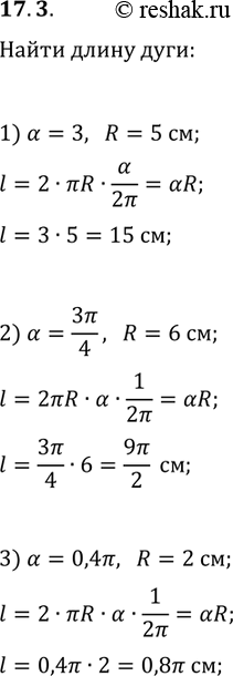
17.3. Вычислите длину дуги окружности, если известны её радианная мера ? и радиус R окружности:
1) ?=3, R=5 см; 2) ?=3?/4, R=6 см; 3) ?=0,4?, R=2 см.
Похожие решебники
Популярные решебники 10 класс Все решебники
*размещая тексты в комментариях ниже, вы автоматически соглашаетесь с пользовательским соглашением