Упр.158 ГДЗ Бунимович Булычев 10 класс (Алгебра)

Решение #1

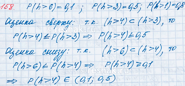
Изображение 158. По данным статистических наблюдений, вероятность того, что уровень весеннего подъёма воды в реке будет больше 6 м, составляет 0.1, больше 3 м, — 0,5, больше 1 м, —...

Рассмотрим вариант решения задания из учебника Бунимович, Булычев 10 класс, Просвещение:
158. По данным статистических наблюдений, вероятность того, что уровень весеннего подъёма воды в реке будет больше 6 м, составляет 0.1, больше 3 м, — 0,5, больше 1 м, — 0,8. Оцените сверху и снизу вероятность того, что уровень подъёма воды превысит 4 м.
*Цитирирование задания со ссылкой на учебник производится исключительно в учебных целях для лучшего понимания разбора решения задания.
*размещая тексты в комментариях ниже, вы автоматически соглашаетесь с пользовательским соглашением