🔥ГДЗ под запретом?

Упр.153 ГДЗ Никольский Потапов 9 класс (Алгебра)

Решение #1

Изображение 153.а)  (x^2-6x+4)/(x-1)>0 б) ...
Дополнительное изображение

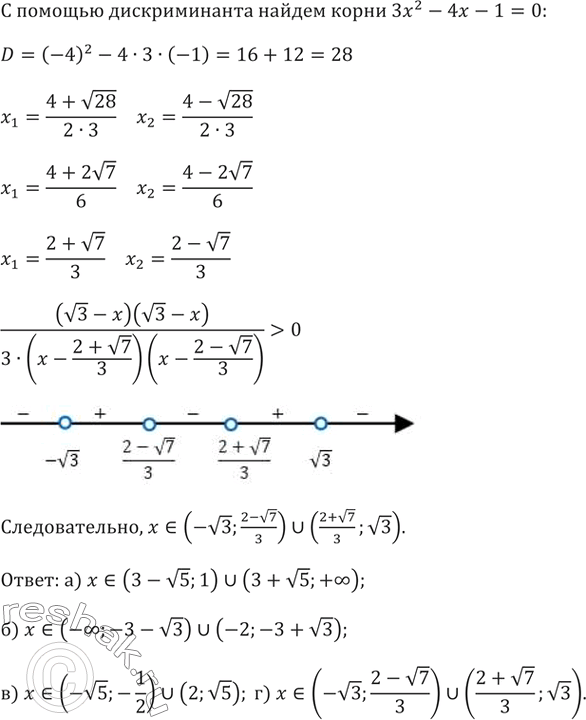
Решение #2

Изображение 153.а)  (x^2-6x+4)/(x-1)>0 б) ...
Дополнительное изображение
Дополнительное изображение

Рассмотрим вариант решения задания из учебника Никольский, Потапов 9 класс, Просвещение:
153.
а) (x^2-6x+4)/(x-1) > 0
б) (x^2+6x+6)/(x+2) < 0
в) (x^2-5)/(2x^2-3x-2) < 0
г) 3-x^2/(3x^2-4x-1) > 0
*Цитирирование задания со ссылкой на учебник производится исключительно в учебных целях для лучшего понимания разбора решения задания.
*К сожалению, временные проблемы с публикацией комментариев с мобильных устройств.