🔥ГДЗ под запретом?

Пункт 15 Часть 1 ГДЗ Рабочая тетрадь Ткачёва Виленкин 5 класс (Математика)

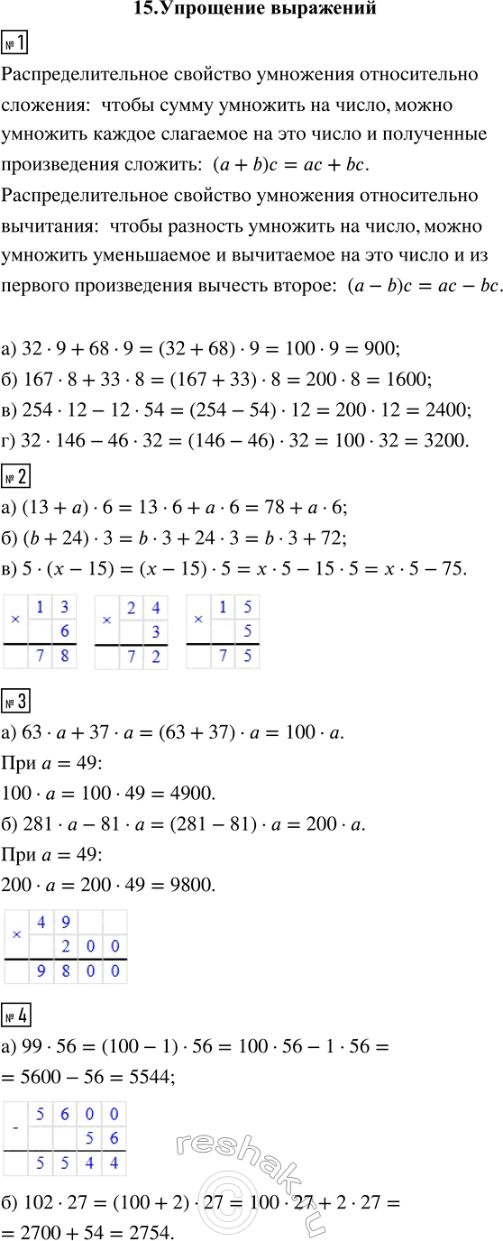
Изображение 1. Найдите значение выражения, применяя распределитель-ное свойство умножения:а) 32 · 9 + 68 · 9;б) 167 · 8 + 33 · 8;в) 254 · 12 - 12 · 54;г) 32 · 146 - 46 ·...
Дополнительное изображение

Рассмотрим вариант решения задания из учебника Ткачёва, Виленкин 5 класс, Просвещение:
1. Найдите значение выражения, применяя распределитель-ное свойство умножения:
а) 32 · 9 + 68 · 9;
б) 167 · 8 + 33 · 8;
в) 254 · 12 - 12 · 54;
г) 32 · 146 - 46 · 32.
2. Представьте произведение в виде суммы или разности:
а) (13 + а) · 6;
б) (b + 24) · 3;
в) 5 · (x - 15).
3. Найдите значение выражения при a = 49, предварительно его упростив:
а) 63 · а + 37 · а;
б) 281 · а - 81 · а;
4. Вычислите удобным способом:
а) 99 · 56; б) 102 · 27.
5. Решите уравнение:
а) 7х - 2х + 35 = 100; б) 4у + 5у - 16 = 56.
6. В коробке лежат только яблоки и сливы. Слив в 3 раза больше, чем яблок. Сколько в коробке слив и сколько яблок, если всего в ней 24 плода?
7. Для приготовления джема из смородины берут частей сахара и 3 части ягод. Сколько сахара ушло на приготовление джема, если масса ягод оказалась на 3 кг г меньше массы сахара?
*Цитирирование задания со ссылкой на учебник производится исключительно в учебных целях для лучшего понимания разбора решения задания.
*К сожалению, временные проблемы с публикацией комментариев с мобильных устройств.