🔥ГДЗ под запретом?

Упр.147 ГДЗ Бунимович Булычев 10 класс (Алгебра)

Решение #1

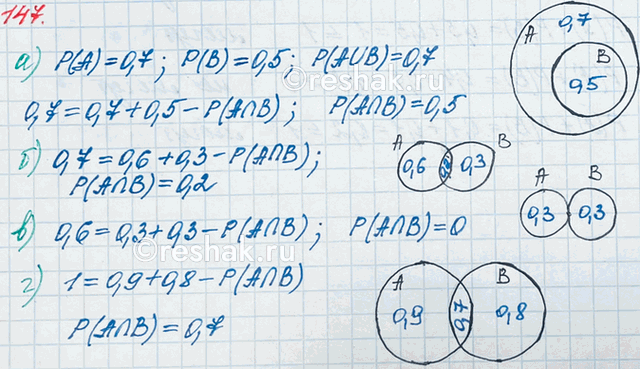
Изображение 147. Нарисуйте события А, В на диаграмме Эйлера и найдите Р(А n В), если:а) Р(А) = 0,7, Р(В) = 0,5, Р(А U В) = 0,7;б) Р(А) = 0,6, Р(В)= 0,3, Р(А U В) = 0,7;в) Р(А)...

Рассмотрим вариант решения задания из учебника Бунимович, Булычев 10 класс, Просвещение:
147. Нарисуйте события А, В на диаграмме Эйлера и найдите Р(А n В), если:
а) Р(А) = 0,7, Р(В) = 0,5, Р(А U В) = 0,7;
б) Р(А) = 0,6, Р(В)= 0,3, Р(А U В) = 0,7;
в) Р(А) = 0,3, Р(В) = 0,3, Р(А U В) = 0,6;
г) Р(А) = 0,9, Р(В) = 0,8, Р(А U В) = 1.
*Цитирирование задания со ссылкой на учебник производится исключительно в учебных целях для лучшего понимания разбора решения задания.
*К сожалению, временные проблемы с публикацией комментариев с мобильных устройств.