Упр.139 ГДЗ Колягин Ткачёва 11 класс (Алгебра)
Решение #1
Решение #2

Рассмотрим вариант решения задания из учебника Колягин, Ткачёва, Фёдорова 11 класс, Просвещение:
139 1) xn= корень 3 степени n2+2n+3/4n2-n+2;
2) xn = корень 3 степени 8n3+2n2+1/n;
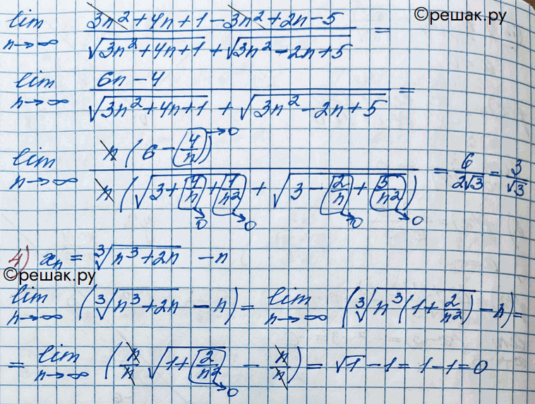
3) xn= корень 3n2+4n+1 - корень 3n2-2n+5;
4) xn = корень 3 степени n3+2n - n.
Популярные решебники 11 класс Все решебники
*К сожалению, временные проблемы с публикацией комментариев с мобильных устройств.