Упр.1146 ГДЗ Мерзляк Полонский 5 класс (Математика)
Решение #1 (Учебник 2024)
Решение #2 (Учебник 2019)

Рассмотрим вариант решения задания из учебника Мерзляк, Полонский, Якир 5 класс, Просвещение:
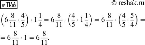
Вычислите наиболее удобным способом значение выражения:
(6 8/11 · 4/5) · 1 1/4.
У принцессы Моды было 30 платьев и 24 маскарадных костюма, на пошив которых пошло 163,5 м ткани. На каждое платье потратили на 0,5 м ткани больше, чем на каждый костюм. Сколько ткани пошло на одно платье и сколько — на один костюм?
Похожие решебники
Популярные решебники 5 класс Все решебники
*К сожалению, временные проблемы с публикацией комментариев с мобильных устройств.