Упр.1145 ГДЗ Мерзляк Полонский 5 класс (Математика)
Решение #1 (Учебник 2024)
Решение #2 (Учебник 2019)

Рассмотрим вариант решения задания из учебника Мерзляк, Полонский, Якир 5 класс, Просвещение:
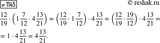
Вычислите наиболее удобным способом значение выражения:
12/19 · (1 7/12 · 4 13/21).
Масса ведра с водой равна 12,5 кг. Когда из ведра вылили половину воды, то масса ведра с водой стала 7 кг. Какова масса пустого ведра?
Похожие решебники
Популярные решебники 5 класс Все решебники
*К сожалению, временные проблемы с публикацией комментариев с мобильных устройств.