Упр.1114 ГДЗ Колягин Ткачёва 11 класс (Алгебра)
Решение #1
Решение #2

Рассмотрим вариант решения задания из учебника Колягин, Ткачёва, Фёдорова 11 класс, Просвещение:
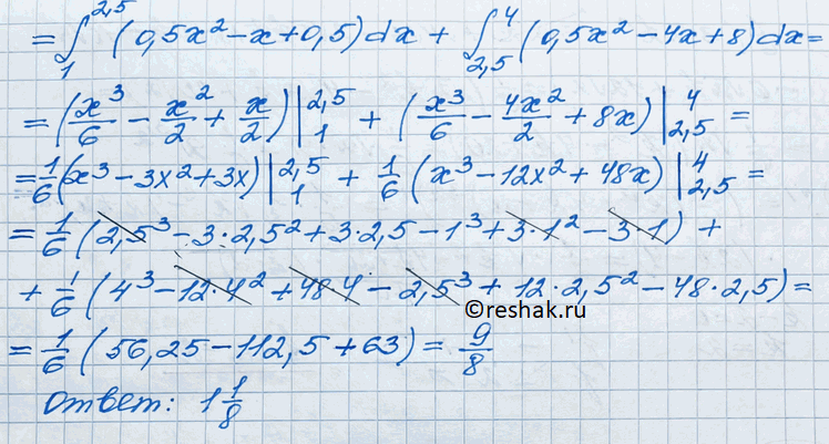
1114. Найти площадь фигуры, ограниченной параболой у = 0,5х2- 2х + 2 и касательными к ней, проведёнными через точки A(1;1/2) и В (4; 2).
Популярные решебники 11 класс Все решебники
*К сожалению, временные проблемы с публикацией комментариев с мобильных устройств.