Упр.11.23 ГДЗ Мерзляк 10 класс Углубленный уровень (Алгебра)
Решение #1

Рассмотрим вариант решения задания из учебника Мерзляк, Номировский, Поляков 10 класс, Просвещение:
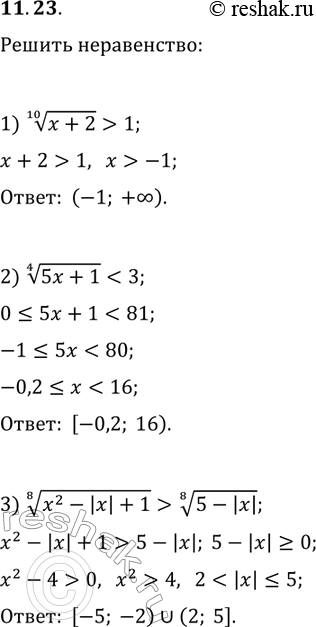
11.23. Решите неравенство:
1) (x+2)^(1/10) > 1;
2) (5x+1)^(1/4) < 3;
3) (x^2-|x|+1)^(1/8) > (5-|x|)^(1/8).
Похожие решебники
Популярные решебники 10 класс Все решебники
*размещая тексты в комментариях ниже, вы автоматически соглашаетесь с пользовательским соглашением