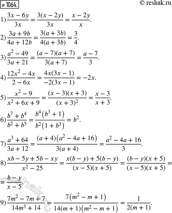
Упр.1064 ГДЗ Мерзляк Полонский 8 класс (Алгебра)
Решение #1 (Учебник 2025)

Рассмотрим вариант решения задания из учебника Мерзляк, Полонская, Якир 8 класс, Просвещение:
Сократите дробь:
1) (3x-6y)/3x;
2) (3a+9b)/(4a+12b);
3) (a2-49)/(3a+21);
4) (12x2-4x)/(2-6x);
Похожие решебники
Популярные решебники 8 класс Все решебники
*К сожалению, временные проблемы с публикацией комментариев с мобильных устройств.