Упр.105 ГДЗ Колягин Ткачёва 7 класс (Алгебра)
Решение #1 (Учебник 2023)
Решение #2 (Учебник 2012)

Рассмотрим вариант решения задания из учебника Колягин, Ткачёва, Фёдорова 7 класс, Просвещение:
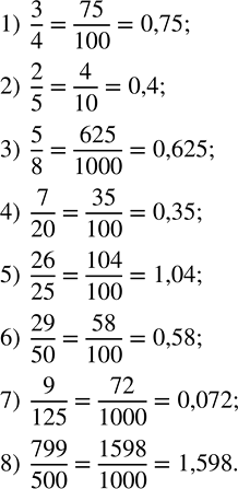
Записать в виде десятичной дроби:
1) 3/4; 2) 2/5; 3) 5/8; 4) 7/20;
5) 26/25; 6) 29/50; 7) 9/125; 8) 799/500.
Имеются четыре последовательных четных числа. Если удвоенную сумму крайних чисел уменьшить на 2, то получится 34. Найти эти числа.
Популярные решебники 7 класс Все решебники
*размещая тексты в комментариях ниже, вы автоматически соглашаетесь с пользовательским соглашением