🔥ГДЗ под запретом?

Упр.1.65 ГДЗ Виленкин Жохов 6 класс Часть 1, Просвещение (Математика)

Решение #1 (Учебник 2023)

Изображение Проведите луч ВС. Используя транспортир, отложите по одну сторону от зтого луча углы: ?ВСA = 30°; ?BCD = 55°; ?BCF = 120°; ?ВСЕ =...

Решение #2 (Учебник 2023)

Изображение Проведите луч ВС. Используя транспортир, отложите по одну сторону от зтого луча углы: ?ВСA = 30°; ?BCD = 55°; ?BCF = 120°; ?ВСЕ =...

Решение #3 (Учебник 2021)

Изображение Проведите луч ВС. Используя транспортир, отложите по одну сторону от зтого луча углы: ?ВСA = 30°; ?BCD = 55°; ?BCF = 120°; ?ВСЕ =...

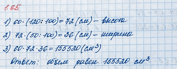
Рассмотрим вариант решения задания из учебника Виленкин, Жохов, Чесноков 6 класс, Просвещение:
Длина прямоугольного параллелепипеда равна 60 см, его высота составляет 120 % длины, а ширина составляет 50 % высоты. Найдите объём параллелепипеда.

Проведите луч ВС. Используя транспортир, отложите по одну сторону от зтого луча углы: ?ВСA = 30°; ?BCD = 55°; ?BCF = 120°; ?ВСЕ = 90°.

*Цитирирование задания со ссылкой на учебник производится исключительно в учебных целях для лучшего понимания разбора решения задания.
*К сожалению, временные проблемы с публикацией комментариев с мобильных устройств.