Упр.1.37 ГДЗ Дорофеев Суворова 9 класс (Алгебра)
Решение #1

Рассмотрим вариант решения задания из учебника Дорофеев, Суворова, Бунимович 9 класс, Просвещение:
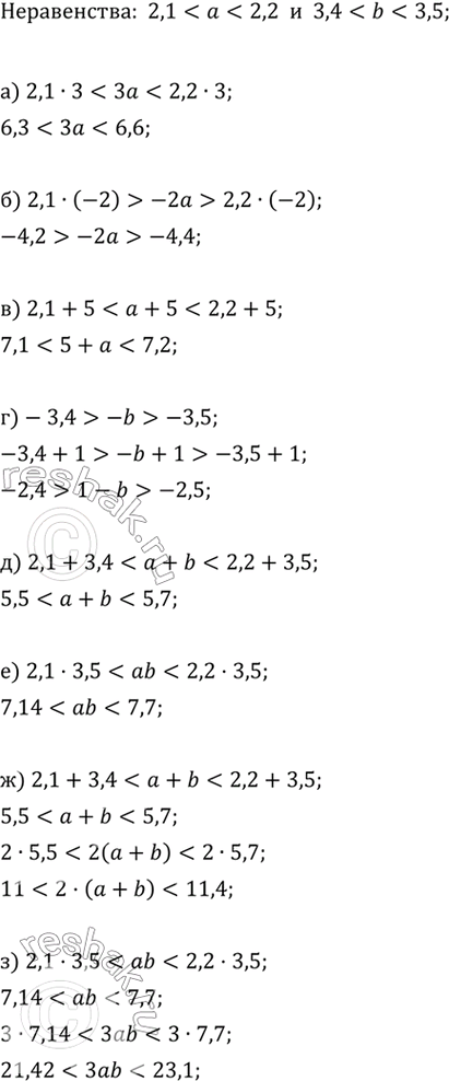
Известно, что 2,1 < а < 2,2 и 3,4 < b < 3,5. Оцените:
а) За; в) 5+а; д) а+b; ж) 2(a+b);
б) -2а; г) 1-b; е) ab; з) Заb.
Популярные решебники 9 класс Все решебники
*К сожалению, временные проблемы с публикацией комментариев с мобильных устройств.