Упр.27 Повторение ГДЗ Мордковича 11 класс профильный уровень (Алгебра)
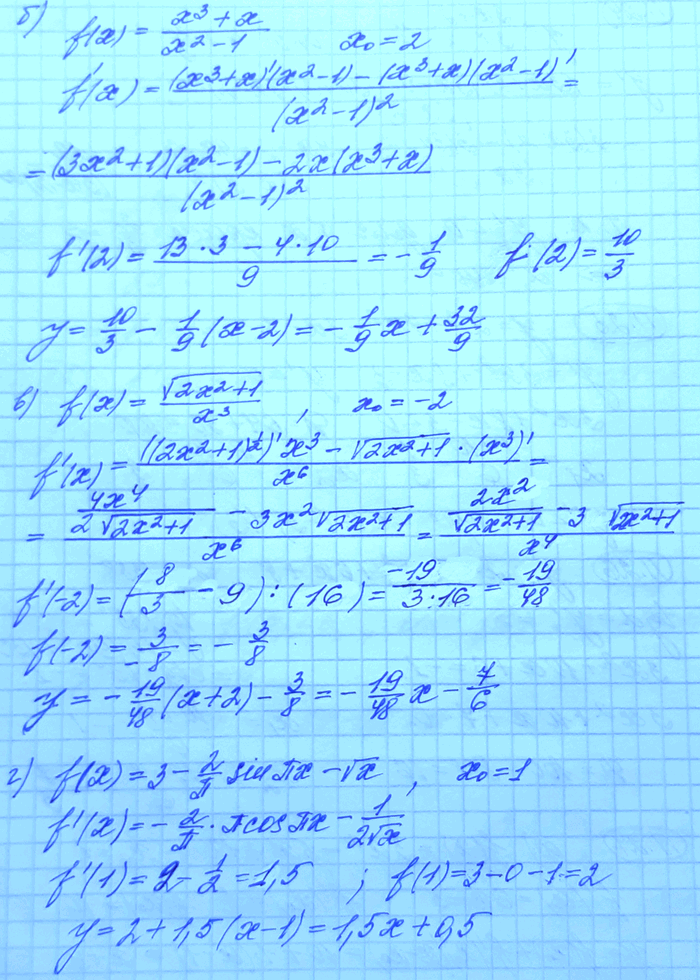
Решение #1
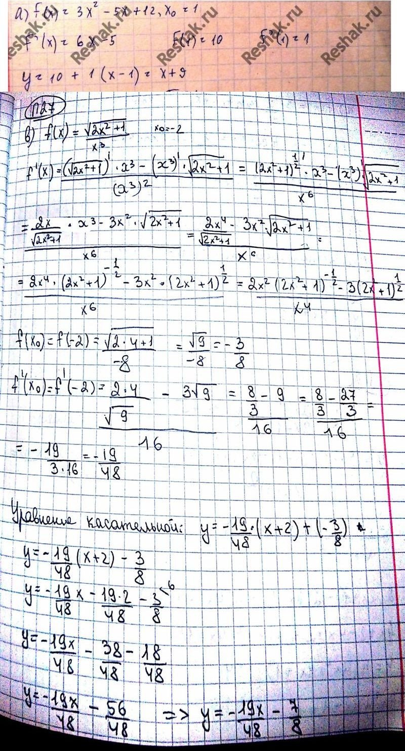
Решение #2(записки учителя)
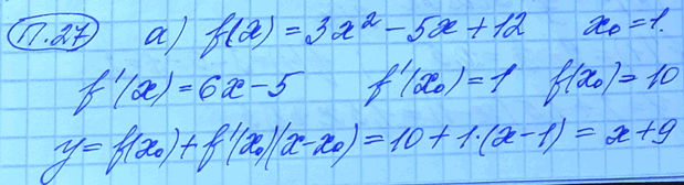
Решение #3(записки школьника)

Совет дня!
Чтобы не спалиться на списывании, сайт решак.ру рекомендует максимально изменять тексты сочинений "под себя", изменять имена собственные, города, подбирать синонимы.Похожие решебники
Популярные решебники 11 класс Все решебники
*размещая тексты в комментариях ниже, вы автоматически соглашаетесь с пользовательским соглашением