Упр.7.43 ГДЗ Мордковича 11 класс профильный уровень (Алгебра)
Решение #1
Решение #2(записки учителя)
Решение #3(записки школьника)

Рассмотрим вариант решения задания из учебника Мордкович, Семенов 11 класс, Мнемозина:
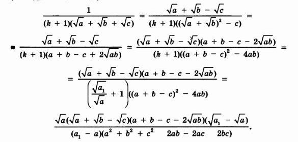
7.43 Избавьтесь от иррациональности в знамената=еле дроби
1/(корень a + корень b + корень c+корень a1 + корень b1 + корень c1), если известно что a/a1=b/b1=c/c1.
Похожие решебники
Популярные решебники 11 класс Все решебники
*К сожалению, временные проблемы с публикацией комментариев с мобильных устройств.