Упр.4.4 ГДЗ Мордковича 11 класс профильный уровень (Алгебра)
Решение #1
Решение #2(записки учителя)
Решение #3(записки школьника)

Рассмотрим вариант решения задания из учебника Мордкович, Семенов 11 класс, Мнемозина:
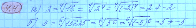
4.4. Найдите ошибку в рассуждениях:
а) 2 = корень 4 степени из 16 = корень 4 степени из 2^4= корень 4 степени из (-2)4=-2;
б) 5 = корень 6 степени из 15 625 = корень 6 степени из 5^6= корень 6 степени из (-5)^6=-5.
Похожие решебники
Популярные решебники 11 класс Все решебники
*размещая тексты в комментариях ниже, вы автоматически соглашаетесь с пользовательским соглашением