Упр.33.3 ГДЗ Мордковича 11 класс профильный уровень (Алгебра)
Решение #1
Решение #2(записки учителя)
Решение #3(записки школьника)

Рассмотрим вариант решения задания из учебника Мордкович, Семенов 11 класс, Мнемозина:
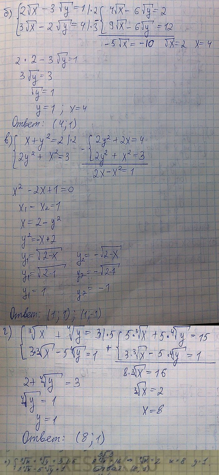
33.3 Решите систему уравнений методом алгебраического сложения:
а)система
3x+2y=1,
x-y=-3;
б)система
2 корень x - 3 корень y = 1,
3 корень x - 2 корень y=4;
в)система
x+y2=2,
2y2+x2=3;
г)система
корень 3 степени x + корень 4 степени y = 3,
3 корень 3 степени x - 5 корень 4 степени y=1.
Похожие решебники
Популярные решебники 11 класс Все решебники
*К сожалению, временные проблемы с публикацией комментариев с мобильных устройств.