Упр.33.1 ГДЗ Мордковича 11 класс профильный уровень (Алгебра)
Решение #1
Решение #2(записки учителя)
Решение #3(записки школьника)

Рассмотрим вариант решения задания из учебника Мордкович, Семенов 11 класс, Мнемозина:
Решите систему уравнений методом подстановки:
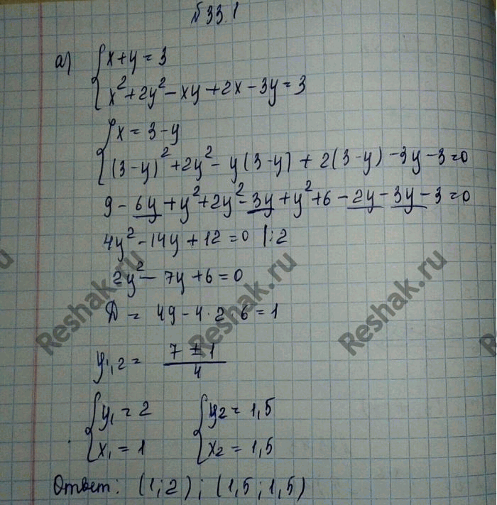
а)система
x+y=3
x2+2y2-xy+2x-3y=3;
б)система
y=2+x;
x3-y2=-8;
в)система
x+y=5,
x3+y3=35;
г)система
x+2y=1,
2x2+3xy-3y2=6.
Похожие решебники
Популярные решебники 11 класс Все решебники
*К сожалению, временные проблемы с публикацией комментариев с мобильных устройств.