Упр.29.39 ГДЗ Мордковича 11 класс профильный уровень (Алгебра)
Решение #1
Решение #2(записки учителя)
Решение #3(записки школьника)

Рассмотрим вариант решения задания из учебника Мордкович, Семенов 11 класс, Мнемозина:
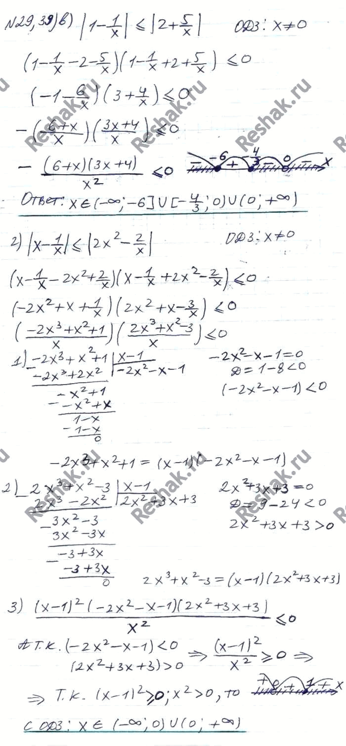
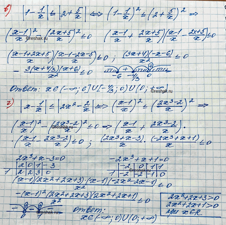
29.39 а)|(1-x)/(1+3x) > |1+x|;в)|1-1/x| меньше или равно |2+5/x|;
б)|(x-x2)/(1+x-3x2)| > |1-x|; г)|x-1/x| меньше или равно |2x2-2/x|
Похожие решебники
Популярные решебники 11 класс Все решебники
*размещая тексты в комментариях ниже, вы автоматически соглашаетесь с пользовательским соглашением