Упр.29.35 ГДЗ Мордковича 11 класс профильный уровень (Алгебра)
Решение #1
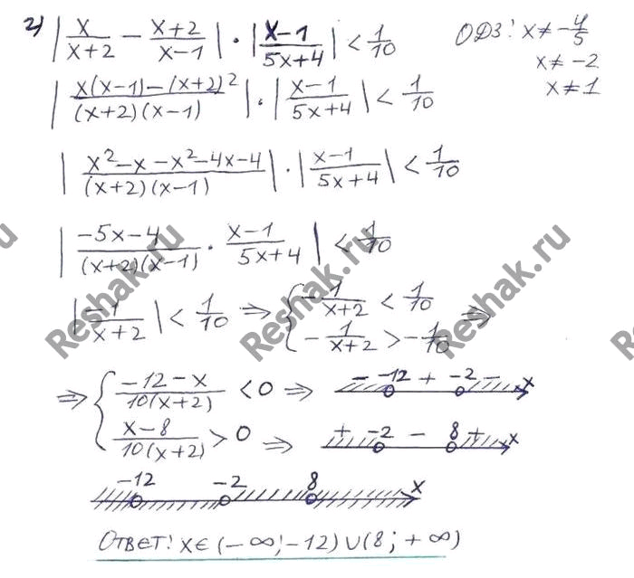
Решение #2(записки учителя)
Решение #3(записки школьника)

Рассмотрим вариант решения задания из учебника Мордкович, Семенов 11 класс, Мнемозина:
29.35 а)|x-4/x| < 3 ;
б)|x-4/x| * |x/(x-2)| < 7
в)|x/(x+2) - (x+2)/(x-1)| < 1/2;
г)|x/(x+2) - (x+2)/(x-1)| * |(x-1)/(5x+4)| < 1/10.
Похожие решебники
Популярные решебники 11 класс Все решебники
*размещая тексты в комментариях ниже, вы автоматически соглашаетесь с пользовательским соглашением