Упр.28.4 ГДЗ Мордковича 11 класс профильный уровень (Алгебра)
Решение #1
Решение #2(записки учителя)
Решение #3(записки школьника)

Рассмотрим вариант решения задания из учебника Мордкович, Семенов 11 класс, Мнемозина:
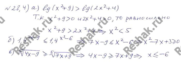
28.4. Данное неравенство замените более простым равносиль ным неравенством:
a) lg (x2 + 9) > lg (2х2 + 4);
б) 1,4(7x-9) меньше или равно 1,4(x2-
в) корень 5 степени 4х - 9 больше или равно корень 5 степени 7x + 9;
г) log 0,2 (16x2 + 8) < log 0,2 (х2 + 1).
Похожие решебники
Популярные решебники 11 класс Все решебники
*размещая тексты в комментариях ниже, вы автоматически соглашаетесь с пользовательским соглашением