Упр.28.3 ГДЗ Мордковича 11 класс профильный уровень (Алгебра)
Решение #1
Решение #2(записки учителя)
Решение #3(записки школьника)

Рассмотрим вариант решения задания из учебника Мордкович, Семенов 11 класс, Мнемозина:
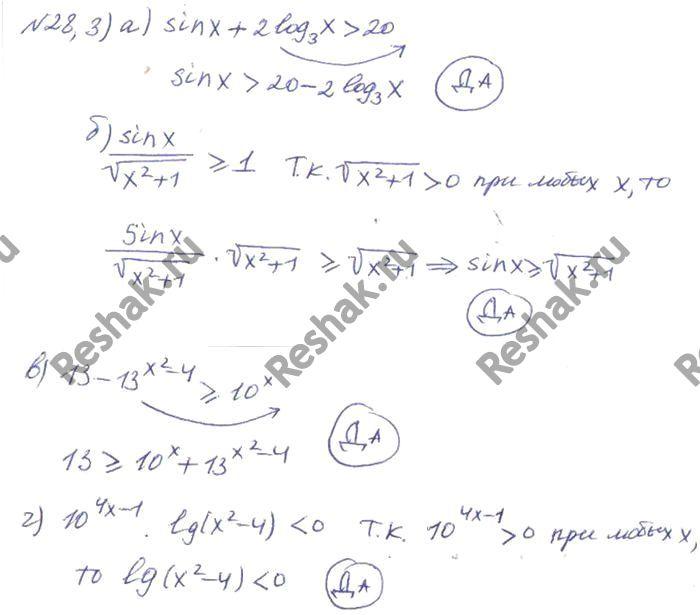
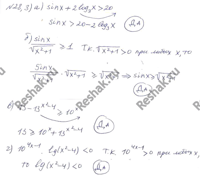
28.3. Являются ли равносильными неравенства:
а) sin х + 2 log3(х) > 20 и sin х > 20 - 2 log3(х);
б)sinx/корень x2+1 больше или равно 1 и sin х больше или равно 10x + 13(x2-4);
в) 13 - 13(x2-4) больше или равно 10x и 13 больше или равно 10x + 13(x2-4);
г) 10(4x-1) * lg(x2 - 4) < 0 и lg(x2 - 4) < 0?
Похожие решебники
Популярные решебники 11 класс Все решебники
*размещая тексты в комментариях ниже, вы автоматически соглашаетесь с пользовательским соглашением