Упр.23.8 ГДЗ Мордковича 11 класс профильный уровень (Алгебра)
Решение #1
Решение #2(записки учителя)
Решение #3(записки школьника)
Решение #4(записки школьника)

Рассмотрим вариант решения задания из учебника Мордкович, Семенов 11 класс, Мнемозина:
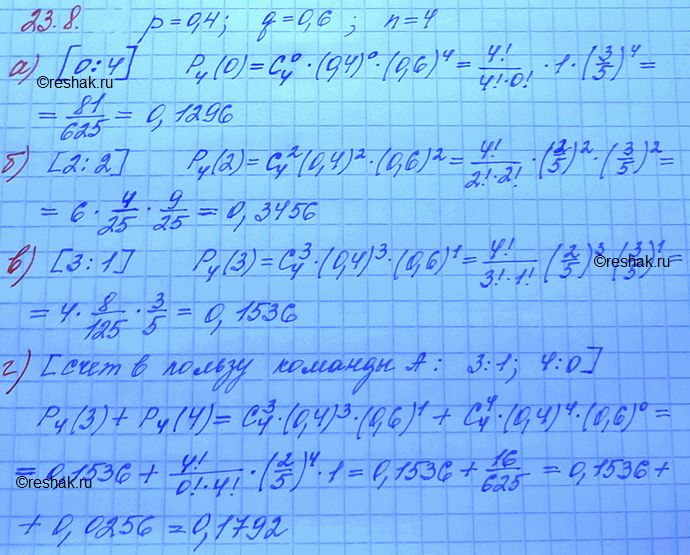
23.8. Хоккейные команды А и Б играют в финальной стадии «play-off». Шансы на победу команды А в отдельной встрече оцениваются в 40%. Какова вероятность того, что после четырех встреч результат А : Б будет:
а) 0 : 4;б) 2 : 2;в) 3 : 1;г) в пользу команды А?
Похожие решебники
Популярные решебники 11 класс Все решебники
*размещая тексты в комментариях ниже, вы автоматически соглашаетесь с пользовательским соглашением