Упр.23.10 ГДЗ Мордковича 11 класс профильный уровень (Алгебра)
Решение #1
Решение #2(записки учителя)
Решение #3(записки школьника)

Рассмотрим вариант решения задания из учебника Мордкович, Семенов 11 класс, Мнемозина:
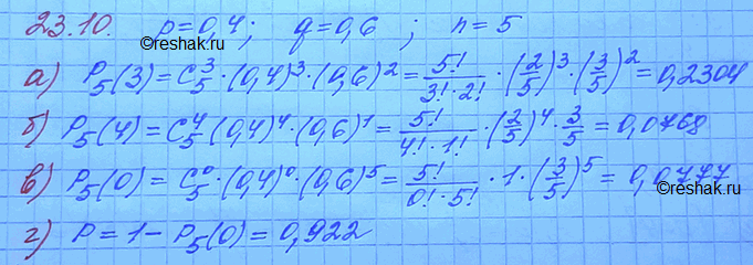
23.10. Стрелок не очень меток: вероятность поражения мишени при одном выстреле оценивается в 40 %. Оцените (в процентах) вероятности наступления следующих событий при пяти выстрелах этого стрелка:
а) в мишень попадут ровно три пули;
б) в мишень не попадет ровно одна пуля;
в) мишень останется нетронутой;
г) мишень будет поражена хотя бы раз.
Похожие решебники
Популярные решебники 11 класс Все решебники
*К сожалению, временные проблемы с публикацией комментариев с мобильных устройств.