Упр.19.40 ГДЗ Мордковича 11 класс профильный уровень (Алгебра)
Решение #1
Решение #2(записки учителя)
Решение #3(записки школьника)

Рассмотрим вариант решения задания из учебника Мордкович, Семенов 11 класс, Мнемозина:
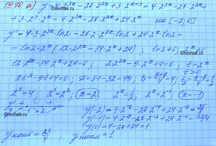
19.40. а) у = 4 * 2^3х - 27 * 2^2x + 3 * 2(x + 3), [-2; 0];
б) у = 3^3х - 2 * 3^2х + 9 * 3(х-2), [-1; 1].
Похожие решебники
Популярные решебники 11 класс Все решебники
*размещая тексты в комментариях ниже, вы автоматически соглашаетесь с пользовательским соглашением