Упр.19.39 ГДЗ Мордковича 11 класс профильный уровень (Алгебра)
Решение #1
Решение #2(записки учителя)
Решение #3(записки школьника)

Рассмотрим вариант решения задания из учебника Мордкович, Семенов 11 класс, Мнемозина:
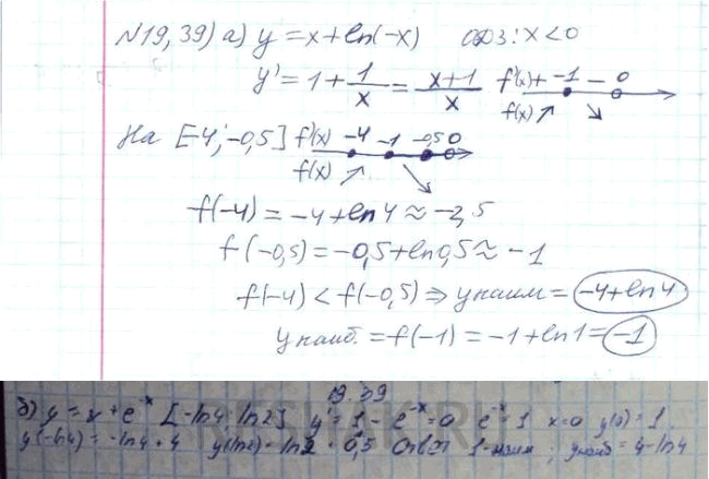
Найдите наименьшее и наибольшее значение заданной функции на заданном промежутке:
19.39. а) у = х + ln(-x), [-4; -0,5];
б) у = х + е(-х), [-ln4; ln2].
Похожие решебники
Популярные решебники 11 класс Все решебники
*размещая тексты в комментариях ниже, вы автоматически соглашаетесь с пользовательским соглашением