Упр.19.27 ГДЗ Мордковича 11 класс профильный уровень (Алгебра)
Решение #1
Решение #2(записки учителя)
Решение #3(записки школьника)

Рассмотрим вариант решения задания из учебника Мордкович, Семенов 11 класс, Мнемозина:
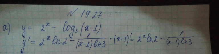
Найдите производную функции:
19.27 а)2x-log3(x-1); в)y=5x-7log1/3(x+1);
б)y=3(-x)+2log1/2(x); г)y=(1/7)x+log5(x+4).
Похожие решебники
Популярные решебники 11 класс Все решебники
*размещая тексты в комментариях ниже, вы автоматически соглашаетесь с пользовательским соглашением