Упр.12.6 ГДЗ Мордковича 11 класс профильный уровень (Алгебра)
Решение #1
Решение #2(записки учителя)
Решение #3(записки школьника)

Рассмотрим вариант решения задания из учебника Мордкович, Семенов 11 класс, Мнемозина:
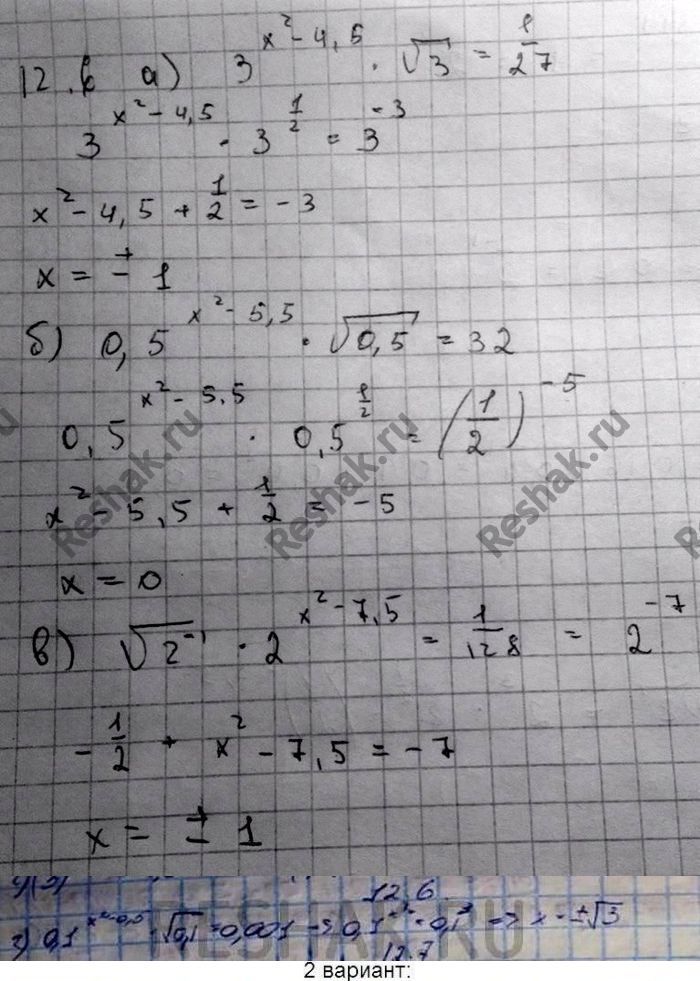
12.6 а)3^(x2-4,5) * корень 3= 1/27;
б)0,5^(x2-5,5) * корень 0,5=32;
в)корень 2^-1 * 2^(x2-7,5)=1/128;
г)0,1^(x2-0,5) * корень 0,1 = 0,001.
Похожие решебники
Популярные решебники 11 класс Все решебники
*размещая тексты в комментариях ниже, вы автоматически соглашаетесь с пользовательским соглашением