Упр.12.11 ГДЗ Мордковича 11 класс профильный уровень (Алгебра)
Решение #1
Решение #2(записки учителя)
Решение #3(записки школьника)

Рассмотрим вариант решения задания из учебника Мордкович, Семенов 11 класс, Мнемозина:
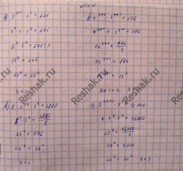
12.11 а) 3^(x+1) * 5x = 675;
б)4^(x+2) * 3^(x+1) = 576;
в)5*2^3x *3x=28880;
г)2^(2x+1)*5x=16000.
Похожие решебники
Популярные решебники 11 класс Все решебники
*размещая тексты в комментариях ниже, вы автоматически соглашаетесь с пользовательским соглашением