Упр.11.46 ГДЗ Мордковича 11 класс профильный уровень (Алгебра)
Решение #1
Решение #2(записки учителя)
Решение #3(записки школьника)

Рассмотрим вариант решения задания из учебника Мордкович, Семенов 11 класс, Мнемозина:
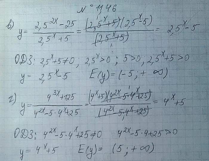
11.46 а) y=(0,5^2x - 16)/(0,5^x - 4);
б)y=(2^3x 27)/(2^2x + 3*2x+ 9);
в)y=(2,5^2x - 25)/(2,5x + 5);
г)y= (4^3x + 125)/(4^2x - 5 * 4x + 25).
Похожие решебники
Популярные решебники 11 класс Все решебники
*размещая тексты в комментариях ниже, вы автоматически соглашаетесь с пользовательским соглашением