Упр.1.35 ГДЗ Мордковича 11 класс профильный уровень (Алгебра)
Решение #1
Решение #2(записки учителя)
Решение #3(записки школьника)
Решение #4(записки школьника)

Рассмотрим вариант решения задания из учебника Мордкович, Семенов 11 класс, Мнемозина:
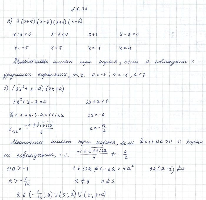
1.35. Найдите значения параметра а, при которых многочлен имеет ровно три различных корня:
а) 3(х + 5)(х - 7)(х + 1)(х - а);
б) (ах2 + 5х + 1)(х2 - х - 2);
в) (х2 - (а + 1)х + а)(х2 - х - а);
г) (Зх2 + х - а)(2х + а).
Похожие решебники
Популярные решебники 11 класс Все решебники
*размещая тексты в комментариях ниже, вы автоматически соглашаетесь с пользовательским соглашением