Упр.35.19 ГДЗ Мордкович 10-11 класс (Алгебра)
Решение #1
Решение #2

Рассмотрим вариант решения задания из учебника Мордкович, Семенов 11 класс, Мнемозина:
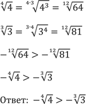
35.19 Сравните числа:
а) (4)корень(26) и корень(5);
б) (3)корень(5) и корень(3);
в) (3)корень(7) и (6)корень(47);
г) -(4)корень(4) и -(З)корень(З).
Похожие решебники
Популярные решебники 11 класс Все решебники
*размещая тексты в комментариях ниже, вы автоматически соглашаетесь с пользовательским соглашением