Упр.28.44 ГДЗ Мордкович 10-11 класс (Алгебра)
Решение #1
Решение #2

Рассмотрим вариант решения задания из учебника Мордкович, Семенов 11 класс, Мнемозина:
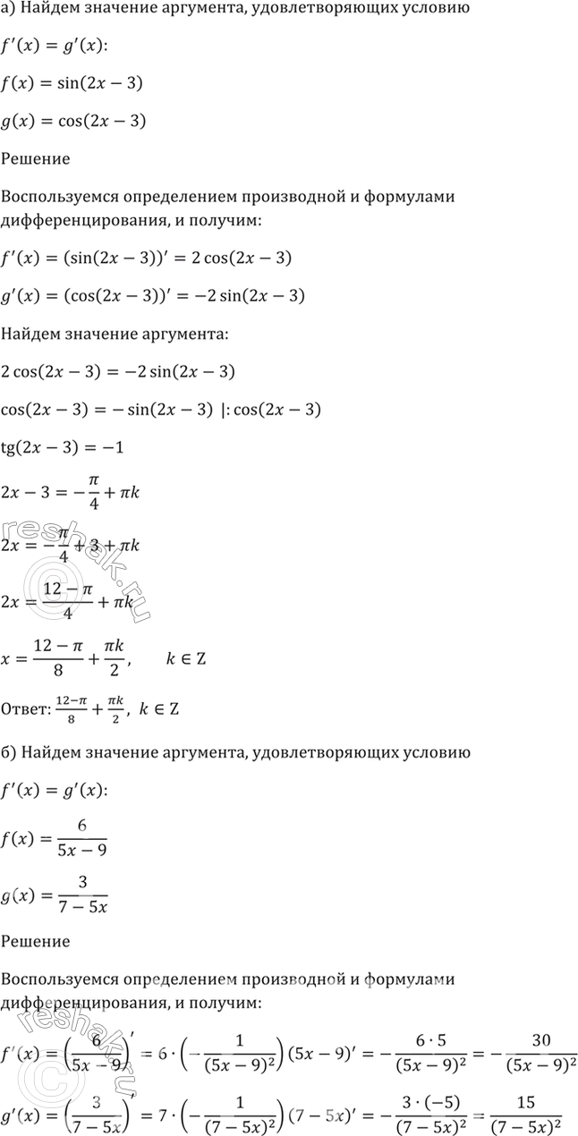
28.44 Найдите значения аргумента, удовлетворяющие условию f'(x) = g'(x), если:
a) f(x) = sin (2x - 3), g(x) = cos (2x - 3);
б) f(x) = 6 / (5x - 9), g(x) = 3 / (7 - 5x);
в) f(x) = корень(3x - 10), g(x) = корень(14 + 6x);
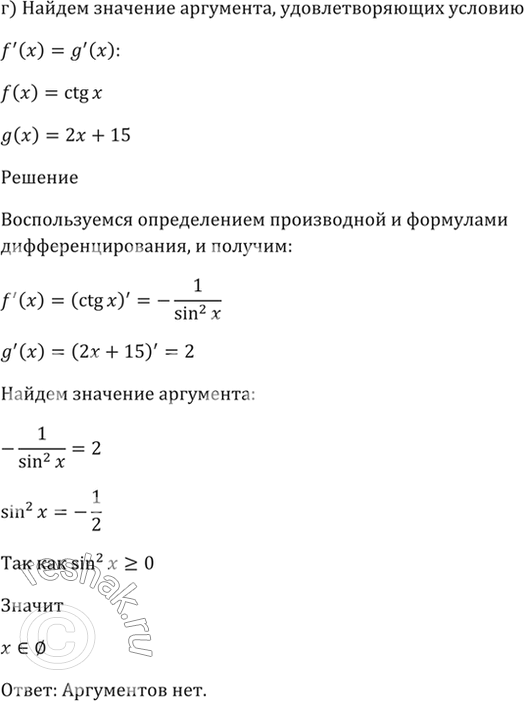
г) f(x) = ctg x, g(x) = 2x + 15.
Похожие решебники
Популярные решебники 11 класс Все решебники
*К сожалению, временные проблемы с публикацией комментариев с мобильных устройств.