Упр.9.13 ГДЗ Мордковича 10 класс профильный уровень (Алгебра)
Решение #1
Решение #2(записки учителя)
Решение #3(записки школьника)

Рассмотрим вариант решения задания из учебника Мордкович, Семенов 10 класс, Мнемозина:
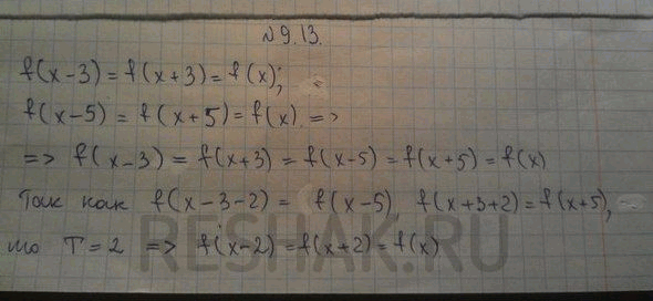
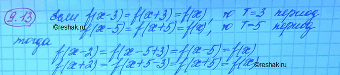
Пусть для любого x из области определения функции у = f(x) выполняются равенства f(x - 3) = f(x + 3) = f(x) и f(x - 5) = f(x + 5) = f(x). Докажите, что для любого x из области определения функции выполняется равенство f(x - 2) = f(x + 2) = f(x).
Похожие решебники
Популярные решебники 10 класс Все решебники
*К сожалению, временные проблемы с публикацией комментариев с мобильных устройств.