Упр.7.5 ГДЗ Мордковича 10 класс профильный уровень (Алгебра)
Решение #1
Решение #2(записки учителя)
Решение #3(записки школьника)

Рассмотрим вариант решения задания из учебника Мордкович, Семенов 10 класс, Мнемозина:
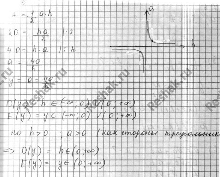
Площадь треугольника со стороной а и высотой Л, опущенной на эту сторону, равна 20. Выразите длину стороны а, как функцию длины высоты h и найдите область определения и множество значений этой функции.
Похожие решебники
Популярные решебники 10 класс Все решебники
*К сожалению, временные проблемы с публикацией комментариев с мобильных устройств.